
如果你在程序开发道路上只想当个码农可以不用看以下文字,如果你认为程序开发只是做做web从数据库里捞数据等,那更不用看以下的文字了。
1.String/Array/Matrix
在Java中,String是一个包含char数组和其它字段、方法的类。如果没有IDE自动完成代码,下面这个方法大家应该记住:
toCharArray() //get char array of a String Arrays.sort() //sort an array Arrays.toString(char[] a) //convert to string charAt(int x) //get a char at the specific index length() //string length length //array size substring(int beginIndex) substring(int beginIndex, int endIndex) Integer.valueOf()//string to integer String.valueOf()/integer to string
String/arrays很容易理解,但与它们有关的问题常常需要高级的算法去解决,例如动态编程、递归等。
下面列出一些需要高级算法才能解决的经典问题:
●Evaluate Reverse Polish Notation
●Longest Palindromic Substring
●单词分割
●字梯
●Median of Two Sorted Arrays
●正则表达式匹配
●合并间隔
●插入间隔
●Two Sum
●3Sum
●4Sum
●3Sum Closest
●String to Integer
●合并排序数组
●Valid Parentheses
●实现strStr()
●Set Matrix Zeroes
●搜索插入位置
●Longest Consecutive Sequence
●Valid Palindrome
●螺旋矩阵
●搜索一个二维矩阵
●旋转图像
●三角形
●Distinct Subsequences Total
●Maximum Subarray
●删除重复的排序数组
●删除重复的排序数组2
●查找没有重复的最长子串
●包含两个独特字符的最长子串
●Palindrome Partitioning
2.链表
在Java中实现链表是非常简单的,每个节点都有一个值,然后把它链接到下一个节点。
class Node {
int val;
Node next;
Node(int x) {
val = x;
next = null;
}
}比较流行的两个链表例子就是栈和队列。
栈(Stack)
class Stack{
Node top;
public Node peek(){
if(top != null){
return top;
}
return null;
}
public Node pop(){
if(top == null){
return null;
}else{
Node temp = new Node(top.val);
top = top.next;
return temp;
}
}
public void push(Node n){
if(n != null){
n.next = top;
top = n;
}
}
}队列(Queue)
class Queue{
Node first, last;
public void enqueue(Node n){
if(first == null){
first = n;
last = first;
}else{
last.next = n;
last = n;
}
}
public Node dequeue(){
if(first == null){
return null;
}else{
Node temp = new Node(first.val);
first = first.next;
return temp;
}
}
}值得一提的是,Java标准库中已经包含一个叫做Stack的类,链表也可以作为一个队列使用(add()和remove())。(链表实现队列接口)如果你在面试过程中,需要用到栈或队列解决问题时,你可以直接使用它们。
在实际中,需要用到链表的算法有:
●插入两个数字
●重新排序列表
●链表周期
●Copy List with Random Pointer
●合并两个有序列表
●合并多个排序列表
●从排序列表中删除重复的
●分区列表
●LRU缓存
3.树&堆
这里的树通常是指二叉树。
class TreeNode{
int value;
TreeNode left;
TreeNode right;
}下面是一些与二叉树有关的概念:
●二叉树搜索:对于所有节点,顺序是:left children <= current node <= right children;
●平衡vs.非平衡:它是一 棵空树或它的左右两个子树的高度差的绝对值不超过1,并且左右两个子树都是一棵平衡二叉树;
●满二叉树:除最后一层无任何子节点外,每一层上的所有结点都有两个子结点;
●完美二叉树(Perfect Binary Tree):一个满二叉树,所有叶子都在同一个深度或同一级,并且每个父节点都有两个子节点;
●完全二叉树:若设二叉树的深度为h,除第 h 层外,其它各层 (1~h-1) 的结点数都达到最大个数,第 h 层所有的结点都连续集中在最左边,这就是完全二叉树。
堆(Heap)是一个基于树的数据结构,也可以称为优先队列( PriorityQueue),在队列中,调度程序反复提取队列中第一个作业并运行,因而实际情况中某些时间较短的任务将等待很长时间才能结束,或者某些不短小,但具有重要性的作业,同样应当具有优先权。堆即为解决此类问题设计的一种数据结构。
下面列出一些基于二叉树和堆的算法:
●二叉树前序遍历
●二叉树中序遍历
●二叉树后序遍历
●字梯
●验证二叉查找树
●把二叉树变平放到链表里
●二叉树路径和
●从前序和后序构建二叉树
●把有序数组转换为二叉查找树
●把有序列表转为二叉查找树
●最小深度二叉树
●二叉树最大路径和
●平衡二叉树
4.Graph
与Graph相关的问题主要集中在深度优先搜索和宽度优先搜索。深度优先搜索非常简单,你可以从根节点开始循环整个邻居节点。下面是一个非常简单的宽度优先搜索例子,核心是用队列去存储节点。
第一步,定义一个GraphNode
class GraphNode{
int val;
GraphNode next;
GraphNode[] neighbors;
boolean visited;
GraphNode(int x) {
val = x;
}
GraphNode(int x, GraphNode[] n){
val = x;
neighbors = n;
}
public String toString(){
return "value: "+ this.val;
}
}第二步,定义一个队列
class Queue{
GraphNode first, last;
public void enqueue(GraphNode n){
if(first == null){
first = n;
last = first;
}else{
last.next = n;
last = n;
}
}
public GraphNode dequeue(){
if(first == null){
return null;
}else{
GraphNode temp = new GraphNode(first.val, first.neighbors);
first = first.next;
return temp;
}
}
}第三步,使用队列进行宽度优先搜索
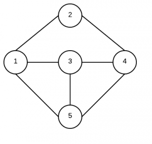
public class GraphTest {
public static void main(String[] args) {
GraphNode n1 = new GraphNode(1);
GraphNode n2 = new GraphNode(2);
GraphNode n3 = new GraphNode(3);
GraphNode n4 = new GraphNode(4);
GraphNode n5 = new GraphNode(5);
n1.neighbors = new GraphNode[]{n2,n3,n5};
n2.neighbors = new GraphNode[]{n1,n4};
n3.neighbors = new GraphNode[]{n1,n4,n5};
n4.neighbors = new GraphNode[]{n2,n3,n5};
n5.neighbors = new GraphNode[]{n1,n3,n4};
breathFirstSearch(n1, 5);
}
public static void breathFirstSearch(GraphNode root, int x){
if(root.val == x)
System.out.println("find in root");
Queue queue = new Queue();
root.visited = true;
queue.enqueue(root);
while(queue.first != null){
GraphNode c = (GraphNode) queue.dequeue();
for(GraphNode n: c.neighbors){
if(!n.visited){
System.out.print(n + " ");
n.visited = true;
if(n.val == x)
System.out.println("Find "+n);
queue.enqueue(n);
}
}
}
}
}输出结果:
value: 2 value: 3 value: 5 Find value: 5 value: 4
实际中,基于Graph需要经常用到的算法:
●克隆Graph
5.排序
不同排序算法的时间复杂度,大家可以到wiki上查看它们的基本思想。
BinSort、Radix Sort和CountSort使用了不同的假设,所有,它们不是一般的排序方法。
下面是这些算法的具体实例
●归并排序
●快速排序
●插入排序
6.递归和迭代
下面通过一个例子来说明什么是递归。
问题:
这里有n个台阶,每次能爬1或2节,请问有多少种爬法?
步骤1:查找n和n-1之间的关系
为了获得n,这里有两种方法:一个是从第一节台阶到n-1或者从2到n-2。如果f(n)种爬法刚好是爬到n节,那么f(n)=f(n-1)+f(n-2)。
步骤2:确保开始条件是正确的
f(0) = 0;
f(1) = 1;
public static int f(int n){
if(n <= 2) return n;
int x = f(n-1) + f(n-2);
return x;
}递归方法的时间复杂度指数为n,这里会有很多冗余计算。
f(5) f(4) + f(3) f(3) + f(2) + f(2) + f(1) f(2) + f(1) + f(2) + f(2) + f(1)
该递归可以很简单地转换为迭代。
public static int f(int n) {
if (n <= 2){
return n;
}
int first = 1, second = 2;
int third = 0;
for (int i = 3; i <= n; i++) {
third = first + second;
first = second;
second = third;
}
return third;
}在这个例子中,迭代花费的时间要少些。关于迭代和递归,你可以去 这里看看。
7.动态规划
动态规划主要用来解决如下技术问题:
●通过较小的子例来解决一个实例;
●对于一个较小的实例,可能需要许多个解决方案;
●把较小实例的解决方案存储在一个表中,一旦遇上,就很容易解决;
●附加空间用来节省时间。
上面所列的爬台阶问题完全符合这四个属性,因此,可以使用动态规划来解决:
public static int[] A = new int[100];
public static int f3(int n) {
if (n <= 2)
A[n]= n;
if(A[n] > 0)
return A[n];
else
A[n] = f3(n-1) + f3(n-2);//store results so only calculate once!
return A[n];
}一些基于动态规划的算法:
●编辑距离
●最长回文子串
●单词分割
●最大的子数组
8.位操作
位操作符:
从一个给定的数n中找位i(i从0开始,然后向右开始)
public static boolean getBit(int num, int i){
int result = num & (1<<i);
if(result == 0){
return false;
}else{
return true;
}
}例如,获取10的第二位:
i=1, n=10 1<<1= 10 1010&10=10 10 is not 0, so return true;
典型的位算法:
●Find Single Number
●Maximum Binary Gap
9.概率
通常要解决概率相关问题,都需要很好地格式化问题,下面提供一个简单的例子:
有50个人在一个房间,那么有两个人是同一天生日的可能性有多大?(忽略闰年,即一年有365天)
算法:
public static double caculateProbability(int n){
double x = 1;
for(int i=0; i<n; i++){
x *= (365.0-i)/365.0;
}
double pro = Math.round((1-x) * 100);
return pro/100;
}结果:
calculateProbability(50) = 0.97
10.组合和排列
组合和排列的主要差别在于顺序是否重要。
例1:
1、2、3、4、5这5个数字,输出不同的顺序,其中4不可以排在第三位,3和5不能相邻,请问有多少种组合?
例2:
有5个香蕉、4个梨、3个苹果,假设每种水果都是一样的,请问有多少种不同的组合?
基于它们的一些常见算法
●排列
●排列2
●排列顺序
来自:CSDN博客,作者不详
链接地址:http://t.cn/8s0ODDq
相关阅读推荐(输入前面的编号可以查看全文)
17 各厂推荐算法体会
36 学习算法之路
40 程序算法与人生选择
106 计算机科学中最重要的32个算法
【码农社区】提问题、找资料、发招聘...
点击程序猿微信的自定义菜单进入
小猿个人微信:itcodemonkey 欢迎调戏
推荐一个微信公众号:IT电商网,长按下面的微信号可以进行复制
itdianshang

——————————————————
本文编号155,以后想阅读这篇文章直接输入155即可。
●输入z可以获取到编程学习资料
●输入m可以获取到全部文章目录
●输入201403可以获得2014年3月份阅读量最多的10篇文章目录;
●输入201402可以获得2014年2月份阅读量最多的10篇文章目录;
●输入201401可以获得2014年1月份阅读量最多的10篇文章目录;
●输入2013可以获得2013年阅读量最多的10篇文章目录;
程序猿微信公众号:imkuqin,为程序员提供最新最全的编程学习资料的查询。目前已经开通PHP、C/C++函数库、.NET Framework类库、J2SE API、Objective-C Reference、Python函数库、Lua函数库查询功能。
如果你觉得程序猿公众微信对你有帮助,请点击右上角“...”标志分享到【朋友圈】,感谢您对小猿的支持!
在微信搜索“程序猿”或者“imkuqin”可订阅程序猿微信。
—————————————————
